当前位置: 主页 > 新闻资讯 > 行业资讯 » 久信达为您科普PC/NPET复合材料的制备与性能
聚碳酸酯(PC)是一种综合性能优良的热塑性工程塑料[1],具有优异的电绝缘性,较高的耐热性、耐寒性、尺寸稳定性及耐化学腐蚀性,在工程塑料中的用量位居第二,仅次于聚酰胺,被广泛用于汽车、电子电气、包装、建筑材料、医疗等领域[2-4]。但PC分子链的刚性较大,空间位阻高,导致其柔韧性和流动性差,加工困难,因此在实际应用中,常常对PC进行改性[5-6]。PC改性的方法有很多,通常通过加入聚对苯二甲酸乙二酯(PET)、聚对苯二甲酸丁二酯(PBT)和聚丙烯(PP)等高聚物与PC熔融共混,来改变PC的性能不足。但通过现有改性方法制得的复合材料在性能提升上有其局限性,因此急需找到一种新的改性方法。笔者选择细化到纳米级的PET作为填料与PC熔融共混,以提升PC的综合性能。PET不仅是重要的合成纤维原料,而且可用于制造薄膜,是包装领域最具潜力的树脂品种之一,其分子链柔韧性较高,具有熔体流动性较好等特点[7-8]。此外,纳米PET (NPET)具有更大的比表面积、较好的耐热性、较强的力学性能及流动性好等优点[9-12],将NPET与PC共混可以更好地实现聚酯材料的生产加工[13]。笔者以PET为原料,通过超声化学沉积法制备了NPET[14-15],以PC为基材,不同比例的NPET为填料,采用熔融挤出法制备了PC/NPET的复合材料,并研究了PC/NPET复合材料的结晶性、相容性、热稳定性以及力学性能等。
1实验部分1.1 主要原材料PC:1302-10,韩国LG化学公司;PET:CR8863,华润化学材料科技股份有限公司;六氟异丙醇:H107501,上海阿拉丁生化科技股份有限公司。1.2 主要仪器及设备转矩流变仪:HAAKE Polylab OS型,美国赛默飞世尔科技公司;切粒机:LSQ-15型,上海科创橡塑机械设备有限公司;微量注塑机:RR/TSMP/B4型,上海威讯科技有限公司;电热鼓风干燥箱:101-0AB型,林茂科技(北京)有限公司;激光粒度分析仪;90Plus型,美国布鲁克海文公司;扫描电子显微镜(SEM):TM4000型,相确精密仪器(上海)有限公司;傅里叶变换红外光谱(FTIR)仪:Spectrum One型,美国PE仪器公司;热重(TG)分析仪:TGA Q500型,美国沃斯特公司;差示扫描量热(DSC)仪:DSC Q200型,美国TA仪器公司;温控式电子万能材料试验机:C54504型,美特斯工业系统(中国)有限公司;熔体流动速率(MFR)测试仪:XRL-400型,山东德瑞克仪器股份有限公司。1.3 样品制备(1) NPET的制备。将20 g的PET在室温条件下完全溶解在200mL的六氟异丙醇溶剂中,得到浓度为100 mg/mL的聚合物溶液。把得到的有机溶液缓慢滴加到180W超声波条件下的冰浴冷却的蒸馏水中,超声5~10min。此过程中,聚合物溶剂迅速溶解到蒸馏水中,在空化作用下形成NPET粒子[16]。超声结束后,将得到的聚合物溶液用旋转蒸发仪蒸掉有机溶剂,再过滤掉存在的固体悬浮物,最后得到纳米颗粒和蒸馏水的悬浮液,该方法得到的NPET的平均粒径为84 nm,粒径集中在60~100 nm。(2) NPET和PC材料的预处理。将NPET和PC严格按照质量比例混合均匀,放入烘箱中,在(100±10)°C条件下干燥12 h。(3) PC/NPET复合材料的制备。将干燥好的NPET和PC一起加入转矩流变仪中,在(270±10)°C,60 r/min的条件下熔融共混。将得到的混合材料切粒后加入微量注塑机在(280±10)°C,120 MPa的条件下,注塑得到测试样条,每组制备5根样条。样品配方见表1。

1.4 性能测试与表征粒度测试:通过激光粒度分析仪对利用超声化学沉积法制备的NPET悬浮液在室温条件下进行粒度测试。SEM测试:将PC/NPET复合材料进行液氮淬断并对断面喷金处理后,通过SEM对复合材料的淬断面进行形貌分析。MFR测试:样品质量控制在6 g以内,温度设置为270 °C,预热时间为4 min,切割间隔时间为15 s,测试5个切割样品取平均值。FTIR测试:通过FTIR仪分析复合材料表面化学基团的变化,扫描次数为32次,扫描范围为400~4000 cm-1。TG测试:样品质量控制在5 mg以内,氮气流速为20 mL/min,温度范围为25~800 °C,升温速率为10 °C/min。DSC测试:样品质量控制在5 mg以内,氮气流速为50 mL/min,温度范围为25~200 °C,升温速率为10 °C/min。力学性能测试:①室温(25 °C)下,采用温控电子万能材料试验机按照ISO 527-21BA测试复合材料拉伸性能,哑铃型标准样条,拉伸速率为20 mm/min。②缺口冲击强度按照GB/T 1843-2008测试,冲击能2 J,V型缺口,测试5个试样取平均值。2结果与讨论2.1 粒度分析经计算得出NPET的平均粒径为84 nm,粒径集中在60~100 nm,且分布较窄,达到了纳米材料的要求,为后续测试提供了数据支持,粒径分布见图1。

2.2SEM和MFR分析NPET作为一种高分子聚合物,加入到PC中能够影响PC/NPET复合材料的相容性和分散性等。图2是PC,NPET,NPET-10,NPET-20,NPET-25和NPET-30复合材料的淬断面在5000倍下的SEM图。结合表2和图2可以看出,纯PC内部粒子的结合不够紧凑,流动性较差,当NPET质量分数低于25%时,随着NPET含量的增加,复合材料的相容性和流动性得到改善,这可能是因为随着NPET含量的提高,PC发挥了成核剂的作用,复合材料的晶体结构得以改善。从图2e可以看出,当NPET质量分数达到25%时,复合材料已经出现团聚现象,在其质量分数达到30%时,团聚现象加重,这可能会影响复合材料的性能提升,具体情况需要后续分析验证。

通过公式(1)计算得到MFR。W表示切取样条质量的算数平均值;t表示切样的间隔时间,具体数值见表2。

3FTIR分析图3为PC/NPET复合材料的FTIR谱图。从图3可以看到,NPET与PC熔融共混后制得的复合材料保留了PC的特征峰,但PC/NPET复合材料在1780 cm-1处特征峰的峰宽变窄且峰面积变小,这可能是因为PC在两种聚合物之间发生了结晶成核作用,导致复合材料在1780 cm-1处的特征基团发生了变化,结合图2可以看到,复合材料的相界面的相容性更好,这也表明NPET和PC已经开始混合。图中2966 cm-1处为—CH3的不对称伸缩振动峰,随着NPET含量的增加,2966 cm-1的特征峰开始向波数小的方向偏移,这可能是因为在复合材料中2966cm-1处的—CH3的吸收强度增加,导致该处特征峰发生偏移。1502 cm-1处的振动吸收峰是—C6H5的特征吸收峰,1227,1194 cm-1和1161 cm-1处为PC的3个并列的强吸收峰。此外,可以看到复合材料出现了NPET特有的特征峰,且随着NPET含量的增加,该特征峰特征越明显,对比图3a和图3b可以发现,当NPET质量分数达到5%时,复合材料在727 cm-1处的特征峰也出现了类似的偏移,这是因为熔融共混后复合材料的相互作用增强,导致该处的—CH吸收强度增加,从而出现了特征峰的偏移,在相关文献中也有类似报道[17-19]。且质量分数30%的NPET复合材料在727 cm-1的特征峰比其他比例处更宽,这可能是因为在熔融共混时,复合材料的分子链相互作用减小了能量的转移率。PC及PC/NPET复合材料的FTIR振动峰归属列于表3。

2.4TG分析图4是不同比例的PC/NPET复合材料的TG曲线。具体配比见表4。结合图4和表4可以看出,随着NPET含量的增加,复合材料的热稳定性逐渐降低,NPET比例从0增加到30%,而热分解温度则从364 °C降低到了349 °C,这说明NPET的加入降低了共混体系的热稳定性,比例越高,分解温度越低,这可能是因为随着NPET含量的增加,复合材料的链段结构和官能团发生了变化,从而降低了复合材料的分解温度。此外,从表4可以看到,随着NPET含量的增加,复合材料的残炭率获得了较大提升,NPET比例从0增加到30%,而残炭率则从9.64%增加到了20.12%,这可能是因为PC和NPET均有较高的残炭率,且PC在降解过程中形成了不稳定片段,与NPET的分子链进一步反应生成聚芳烃等,较高的聚芳烃限制了复合材料在较低的温度下转化成更多的挥发物,导致了残炭率提高[17]。综上,随着NPET含量的增加,PC/NPET复合材料的热稳定性较PC均有所降低,残炭率有所增加,与FTIR分析结论一致。


2.5DSC分析图5是PC/NPET复合材料的DSC降温和二次升温曲线。从图5可以看出,随着NPET含量的增加,复合材料的结晶温度(Tc)和熔融温度(Tm)发生转变,复合材料的Tc先增大后减小,这是因为随着NPET含量的增加,复合材料的分子间作用力增强,使其结晶温度增大,但当NPET比例达到25%时,因为复合材料开始出现团聚,因此结晶温度表现为先增大后减小。Tm逐渐减小,这表明NPET与PC熔融共混会降低其熔融温度,降低复合材料的热稳定性,与TG分析一致。通过公式(2)可以计算出复合材料的结晶度,χPC/NPET为复合材料的结晶度,∆HPC/NPET为复合材料的结晶焓,∆H100%为PC在100%结晶度时的结晶焓,具体的数值见表5。从表5可以看出,在加入NPET后,复合材料的结晶度先增大后减少,说明加入NPET与PC熔融共混能够改善复合材料的结晶性能

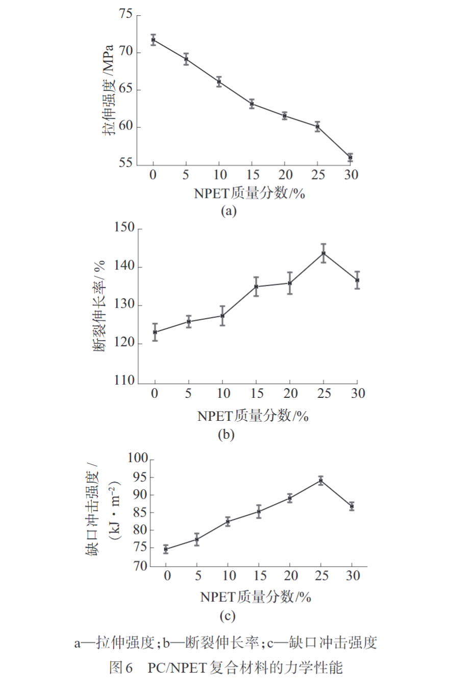
2.6 力学性能分析图6是PC/NPET复合材料的力学性能。从图6可以看出,PC/NPET复合材料的断裂伸长率和缺口冲击强度变化趋势一致,均为先增大后减小,在NPET质量分数为25%时最大,PC/NPET复合材料的断裂伸长率和缺口冲击强度达到最大,分别较纯PC增加了20.53%,19.52 kJ/m2,但在NPET质量分数超过25%后,断裂伸长率和缺口冲击强度都出现了下降,这可能是因为在NPET含量达到一定比例后,复合材料的团聚现象影响了其性能的进一步提升。此外,从图6可以看出,随着NPET含量的增加,PC/NPET复合材料的拉伸强度逐渐降低,且在NPET质量分数超过25%后下降幅度更大,同样说明了复合材料的团聚现象会影响其拉伸强度,这可能减小了复合材料分子链间界面作用力,因而导致复合材料的拉伸强度降低。综上所述,NPET与PC熔融共混能改善复合材料的力学性能,综合考虑在NPET质量分数为25%时,力学性能最优

3结论(1)粒度分析表明,NPET的平均粒径为84nm,达到了纳米材料的要求。(2)SEM和MFR分析表明,NPET的加入改善了PC流动性差的问题,但在其质量分数超过25%后,复合材料的团聚现象加重。(3)FTIR分析表明,随着NPET含量的增加,PC/NPET复合材料的特征峰发生偏移且强度增强。(4)TG分析表明,随着NPET含量的增加,PC/NPET复合材料的热稳定性较PC均有所降低。(5)DSC分析表明,NPET的加入会降低复合材料的结晶度,随着NPET含量的增加,复合材料的Tc先降低后增加,Tm逐渐减少。(6)力学性能分析表明,PC/NPET复合材料的断裂伸长率和缺口冲击强度先增加再减小,拉伸强度降低,综合填充量和力学性能考虑,最佳配比为:mPC/mNPET =75/25,此时断裂伸长率较纯PC增加了20.53%,缺口冲击强度增加了19.52 kJ/m2
摘要:工程塑料应用
久信达15年专业生产、销售、定制生物降解袋、降解纤维袋、可回收胶袋、环保纸袋等,全生物降解、可堆肥、可回收,获得GRS认证,支持出口欧美标准。